南京天光所高精度计算重构型光谱芯片研究获得新进展
相对于直接色散型光谱芯片,计算重构型光谱芯片打破了尺寸与性能的限制,能以微米级甚至更小尺寸实现光谱探测,有望拓展光谱技术在众多重要领域的应用。然而,现有计算重构型光谱芯片的有效探测通道数目通常只有数十个甚至更少,导致光谱探测精度及带宽严重受限,影响其实用价值。
为解决上述问题,南京天光所天文光子学团队提出了单波导缺陷散射光谱芯片架构(如图1所示),以波导内人为制造的缺陷将注入其中的光从上表面散射出来,再使用二维探测器探测散射光强度分布,以小尺寸实现数千甚至更多通道的信号采集,进而使高精度、大带宽光谱探测成为可能。该成果于3月24日发表在学术期刊IEEE Photonics Journal 上 (DOI: 10.1109/JPHOT.2025.3554022),博士研究生童雪为第一作者,天文光子学团队负责人何晋平为通讯作者。基于本工作还申请了国家发明专利及PCT国际专利。

图1 缺陷散射型光谱芯片结构示意图。
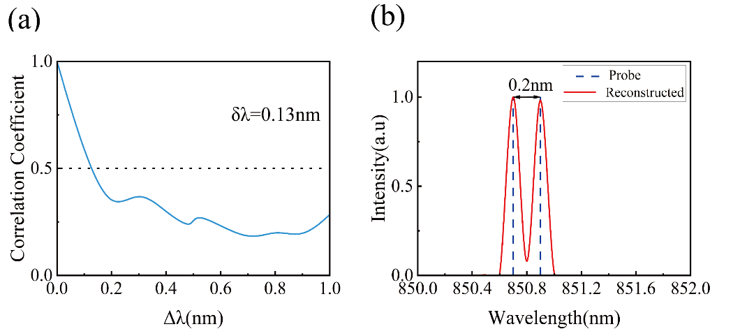
为实现光谱的稳定探测,芯片以单模波导作为输入,并在后随的多模波导上制造随机尺寸缺陷将光信号散射出波导从而能实现探测。由于多模波导内的光场分布及缺陷散射过程均具有波长响应,大大增强了光谱探测灵敏度。通过数值仿真对单波导缺陷散射光谱芯片的性能开展了深入研究。研究发现,芯片可实现600~1600 nm的超宽带光谱探测(如图2所示);精细采样下光谱分辨率可优于0.2 nm(如图3所示)。光谱信噪比优于5 dB时,可实现光谱主要结构信息的重构探测,优于10 dB时,可实现光谱的较高精度重构,优于20 dB时,可实现高精度光谱探测。
本工作既有效解决了计算重构型光谱芯片有效探测通道数目受限的问题,也通过叠加两种光谱响应机制/过程大大提高了光谱探测灵敏度,为未来高精度、大带宽计算重构型光谱芯片研制提供了新思路。
上述研究得到国家自然科学基金重点项目、江苏省重点研发计划、中国科学院重大项目资助。

图2 宽带光谱探测

图3 高分辨光谱探测

图4 高精度光谱探测

